Yuk lihat 15+ contoh surat berita acara ganti rugi. 8398849500076 tempat tgl lahir. PNS ikut pesta se-ks Gay di Ruko. 8398849500076 tempat tgl lahirSurat Pernyataan Bersedia Membayar Ganti Rugi Sewahttpswwwcontohsuratid201910surat-pernyataan-bersedia-membayar-ht Alamat. Simak juga tentangcontoh dan contoh surat berita acara ganti rugi Berikut adalah beberapa contoh surat pengiriman barang yang mungkin bisa anda jadikan 3.
Contoh Berita Acara Ganti Rugi. 6300000- Enam juta tiga ratus ribu rupiah kepada Saiful Mulki selaku pemilik rumah apabila dikemudian hari saya membatalkan penyewaaan rumah yang telah dijanjikan yaitu pada tanggal 16 November 2019 dengan masa sewa 4 Empat tahun.
Contoh Surat Ganti Rugi Tanah Princesslolipopgirl
| Judul: Contoh Surat Ganti Rugi Tanah Princesslolipopgirl |
| Format: JPG |
| Ukuran surat: 1.4mb |
| Ukuran kertas: HVS |
| Tanggal pembuatan Contoh Surat Ganti Rugi Tanah Princesslolipopgirl: Januari 2019 |
| Jumlah halaman Contoh Surat Ganti Rugi Tanah Princesslolipopgirl: 320 Halaman |
| Lihat Contoh Surat Ganti Rugi Tanah Princesslolipopgirl |
Really is endless you are enjoy and finally can find the best picture from our collection that submitted here and also use for suitable needs for personal use.
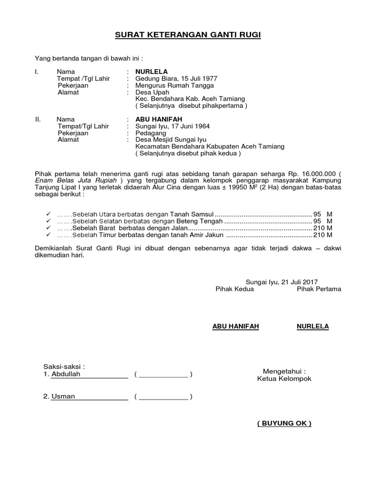
Contoh Surat Keterangan Ganti Rugi 2015 Terbaru Posted by Unknown on Wednesday January 28 2015 SURAT KETERANGAN GANTI RUGI Yang bertanda tangan di bawah ini masing-masing kedua belah pihak. The team also provides the picture in High Quality Resolution. Contoh surat berita acara ganti rugi bagi anda yang saat ini mau melakukan aktivitas di dunia bisnis tidak salahnya jika anda membaca artikel yang akan kami bahas dikesempatan ini. Contoh Surat Keterangan Ganti Rugi 2015 Terbaru Posted by Unknown on Wednesday January 28 2015 SURAT KETERANGAN GANTI RUGI Yang bertanda tangan di bawah ini masing-masing kedua belah pihak. Desa Suka Maju Kecamatan Suka Jaya. Contoh Surat Pernyataan secara Komulatif.

Surat Pernyataan Bersedia Membayar Ganti Rugi Kerusakan Mobil Motor Contoh Surat
| Judul: Surat Pernyataan Bersedia Membayar Ganti Rugi Kerusakan Mobil Motor Contoh Surat |
| Format: Doc |
| Ukuran surat: 1.4mb |
| Ukuran kertas: HVS |
| Tanggal pembuatan Surat Pernyataan Bersedia Membayar Ganti Rugi Kerusakan Mobil Motor Contoh Surat: Agustus 2020 |
| Jumlah halaman Surat Pernyataan Bersedia Membayar Ganti Rugi Kerusakan Mobil Motor Contoh Surat: 235 Halaman |
| Lihat Surat Pernyataan Bersedia Membayar Ganti Rugi Kerusakan Mobil Motor Contoh Surat |
Contoh Surat Perjanjian Ganti Rugi Rumah Contoh Surat
| Judul: Contoh Surat Perjanjian Ganti Rugi Rumah Contoh Surat |
| Format: PDF |
| Ukuran surat: 1.9mb |
| Ukuran kertas: Letter |
| Tanggal pembuatan Contoh Surat Perjanjian Ganti Rugi Rumah Contoh Surat: Februari 2019 |
| Jumlah halaman Contoh Surat Perjanjian Ganti Rugi Rumah Contoh Surat: 247 Halaman |
| Lihat Contoh Surat Perjanjian Ganti Rugi Rumah Contoh Surat |
![]()
Contoh Surat Pernyataan Ganti Rugi Tanah Contoh Surat
| Judul: Contoh Surat Pernyataan Ganti Rugi Tanah Contoh Surat |
| Format: Doc |
| Ukuran surat: 3.4mb |
| Ukuran kertas: HVS |
| Tanggal pembuatan Contoh Surat Pernyataan Ganti Rugi Tanah Contoh Surat: Agustus 2018 |
| Jumlah halaman Contoh Surat Pernyataan Ganti Rugi Tanah Contoh Surat: 253 Halaman |
| Lihat Contoh Surat Pernyataan Ganti Rugi Tanah Contoh Surat |

Contoh Surat Rasmi Tuntutan Ganti Rugi Contoh Surat
| Judul: Contoh Surat Rasmi Tuntutan Ganti Rugi Contoh Surat |
| Format: Docx |
| Ukuran surat: 1.5mb |
| Ukuran kertas: A3 |
| Tanggal pembuatan Contoh Surat Rasmi Tuntutan Ganti Rugi Contoh Surat: Juni 2017 |
| Jumlah halaman Contoh Surat Rasmi Tuntutan Ganti Rugi Contoh Surat: 212 Halaman |
| Lihat Contoh Surat Rasmi Tuntutan Ganti Rugi Contoh Surat |
![]()
Surat Pernyataan Tidak Akan Menuntut Ganti Rugi
| Judul: Surat Pernyataan Tidak Akan Menuntut Ganti Rugi |
| Format: Doc |
| Ukuran surat: 1.6mb |
| Ukuran kertas: Letter |
| Tanggal pembuatan Surat Pernyataan Tidak Akan Menuntut Ganti Rugi: April 2021 |
| Jumlah halaman Surat Pernyataan Tidak Akan Menuntut Ganti Rugi: 280 Halaman |
| Lihat Surat Pernyataan Tidak Akan Menuntut Ganti Rugi |
Contoh Surat Keterangan Ganti Rugi Contoh Surat
| Judul: Contoh Surat Keterangan Ganti Rugi Contoh Surat |
| Format: JPG |
| Ukuran surat: 725kb |
| Ukuran kertas: Folio |
| Tanggal pembuatan Contoh Surat Keterangan Ganti Rugi Contoh Surat: Januari 2017 |
| Jumlah halaman Contoh Surat Keterangan Ganti Rugi Contoh Surat: 178 Halaman |
| Lihat Contoh Surat Keterangan Ganti Rugi Contoh Surat |
15 Contoh Surat Perjanjian Ganti Rugi Tanah
| Judul: 15 Contoh Surat Perjanjian Ganti Rugi Tanah |
| Format: Docx |
| Ukuran surat: 2.6mb |
| Ukuran kertas: A4 |
| Tanggal pembuatan 15 Contoh Surat Perjanjian Ganti Rugi Tanah: Juni 2017 |
| Jumlah halaman 15 Contoh Surat Perjanjian Ganti Rugi Tanah: 278 Halaman |
| Lihat 15 Contoh Surat Perjanjian Ganti Rugi Tanah |

Contoh Surat Gugatan Ganti Rugi Kecelakaan Contoh Surat Format Lengkap
| Judul: Contoh Surat Gugatan Ganti Rugi Kecelakaan Contoh Surat Format Lengkap |
| Format: PDF |
| Ukuran surat: 1.4mb |
| Ukuran kertas: Letter |
| Tanggal pembuatan Contoh Surat Gugatan Ganti Rugi Kecelakaan Contoh Surat Format Lengkap: Agustus 2021 |
| Jumlah halaman Contoh Surat Gugatan Ganti Rugi Kecelakaan Contoh Surat Format Lengkap: 256 Halaman |
| Lihat Contoh Surat Gugatan Ganti Rugi Kecelakaan Contoh Surat Format Lengkap |

20 Contoh Surat Tanda Terima Serah Terima Uang Barang Dan Dokumen Tanda Menyerah Pengetahuan
| Judul: 20 Contoh Surat Tanda Terima Serah Terima Uang Barang Dan Dokumen Tanda Menyerah Pengetahuan |
| Format: JPEG |
| Ukuran surat: 2.8mb |
| Ukuran kertas: A4 |
| Tanggal pembuatan 20 Contoh Surat Tanda Terima Serah Terima Uang Barang Dan Dokumen Tanda Menyerah Pengetahuan: April 2019 |
| Jumlah halaman 20 Contoh Surat Tanda Terima Serah Terima Uang Barang Dan Dokumen Tanda Menyerah Pengetahuan: 149 Halaman |
| Lihat 20 Contoh Surat Tanda Terima Serah Terima Uang Barang Dan Dokumen Tanda Menyerah Pengetahuan |
Contoh Surat Permintaan Ganti Rugi
| Judul: Contoh Surat Permintaan Ganti Rugi |
| Format: JPG |
| Ukuran surat: 2.8mb |
| Ukuran kertas: A3 |
| Tanggal pembuatan Contoh Surat Permintaan Ganti Rugi: November 2018 |
| Jumlah halaman Contoh Surat Permintaan Ganti Rugi: 249 Halaman |
| Lihat Contoh Surat Permintaan Ganti Rugi |

Contoh Surat Pernyataan Tidak Menuntut Ganti Rugi Dapatkan Contoh
| Judul: Contoh Surat Pernyataan Tidak Menuntut Ganti Rugi Dapatkan Contoh |
| Format: PNG |
| Ukuran surat: 1.7mb |
| Ukuran kertas: Folio |
| Tanggal pembuatan Contoh Surat Pernyataan Tidak Menuntut Ganti Rugi Dapatkan Contoh: April 2019 |
| Jumlah halaman Contoh Surat Pernyataan Tidak Menuntut Ganti Rugi Dapatkan Contoh: 273 Halaman |
| Lihat Contoh Surat Pernyataan Tidak Menuntut Ganti Rugi Dapatkan Contoh |
Contoh Surat Keterangan Ganti Rugi 2015 Terbaru Posted by Unknown on Wednesday January 28 2015 SURAT KETERANGAN GANTI RUGI Yang bertanda tangan di bawah ini masing-masing kedua belah pihak. Selain itu berita acara juga bisa dijadikan sebuah bukti legal mengenai peristiwa tertentu serah terima transaksi jual beli insiden tertentu dan masih banyak lagi yang lainnyaRecherches associes pour contoh surat berita acara ganti rugicontoh berita acara kegiatancontoh berita acara pemeriksaan barangcontoh berita acara kerusakan barangcontoh berita acara penyelesaian pekerjaancontoh berita acara serah terimacontoh berita acara wordberita acara kejadianorang yang mendokumentasikan acaraCertains rsultats ont t supprimsPagination12345SuivantAfficher plusRecherches associescontoh berita acara kegiatancontoh berita acara pemeriksaan barangcontoh berita acara kerusakan barangcontoh berita acara penyelesaian pekerjaancontoh berita acara serah terimacontoh berita acara wordberita acara kejadianorang yang mendokumentasikan acara. Dokumen ini memuat pernyataan pengesahan mengenai suatu kegiatan.
Itulah Artikel tentang contoh surat berita acara ganti rugi, Prosedur Pengadaan Tanah 2017. Contoh Surat Berita Acara Perubahan Harga - Baik itu menyangkut rapat kehilangan kerusakan serah terima barang peristiwa penyelesaian pekerjaan perubahan status dan masih banyak lagi lainnya. Contoh surat ganti rugi tanah princesslolipopgirl surat pernyataan bersedia membayar ganti rugi kerusakan mobil motor contoh surat contoh surat rasmi tuntutan ganti rugi contoh surat 20 contoh surat tanda terima serah terima uang barang dan dokumen tanda menyerah pengetahuan contoh surat pernyataan tidak menuntut ganti rugi dapatkan contoh contoh surat gugatan ganti rugi kecelakaan contoh surat format lengkap, semoga memberi solusi.
No comments:
Post a Comment